[Next] [Previous] [Top]
Derive
Versie: Derive for Windows versie 4
Laatste update: november 1996
Eerstvolgende update: ?
Leverancier(s): CAN Diensten, Amsterdam
Hardware specificatie: 8 Mb RAM, IBM-compatible met 486-processor
Prijs enkelvoudig: f 495
Prijs in licentie: f 1125
DOS/Windows : Windows 3.1 of hoger, ook beschikbaar onder DOS
Overige materialen:
Werkbladen:
1. P. Drijvers (1992)
Wiskunde leren met Derive
Wolters-Noordhoff, Groningen
ISBN 90 01 25992 8
2. Werkgroep CAVO (1995)
Wiskundelessen met Derive
15 practica voor de bovenbouw
CAN, Amsterdam
ISBN 90 74 116 035
3. P. Drijvers (1995)
Introductie Derive 3.0
Stam Techniek, Culemborg
ISBN 90 401 06401
4. B. Kutzler (1996)
Introduction to Derive for Windows
B. Kutzler, Hagenberg, Oostenrijk
Literatuur:
5. G. Huls (1995)
Ervaringen met Derive in de klas
In: Informatietechnologie in de wiskunde tweede fase, de analyse
S.L.O., Enschede
6. P. Drijvers (1995)
Numerieke integratie met Derive
In: Informatietechnologie in de wiskunde tweede fase, de analyse
S.L.O., Enschede
Digitale informatie: Homepage Soft Warehouse: http://www.derive.com
Homepage CAN: http://www.can.nl
Essentie van het programma
Derive is een computeralgebra pakket, dat draait op een PC onder Windows. Middels een menu en een toolbar kan de gebruiker kiezen uit een groot aantal algebraïsche bewerkingen. Daarnaast kan men met het programma grafieken teken en numerieke bewerkingen uitvoeren.
Nadere informatie
- Uitgebreidere omschrijving
Derive is een computeralgebra pakket, zoals ook Maple en Mathematica. Waar het gaat om programmeren in het systeem of het maken van worksheets en animaties zijn de mogelijkheden van Derive beperkt. Derive ondersteunt de gebruiker bij het invoeren van commando's stap voor stap, wat de toegankelijkheid ten goede komt (zie Commando's invoeren).
Het programma kent een drietal soorten uitvoervensters, namelijk algebra vensters, tweedimensionale tekenvensters en het driedimensionale tekenvensters (zie Schermopbouw).
Derive kent een éénregelige invoervenster. In de algebravensters worden formules echter wel tweedimensionaal weergegeven.
Derive bestaat uit een kernprogramma (geschreven in Lisp), waaromheen zich een `bibliotheek' van toepassingsprogramma's bevindt, de zogenaamde utility-files. Omdat deze bestanden procedures bevatten die uit Derive-commando's bestaan, kan de gebruiker utility-files lezen, wijzigen en aanmaken en op deze manier de bibliotheek uitbreiden (zie Toepassingen bouwen).
Derive is tevens leverbaar in twee DOS-versies, die identiek functioneren: de Classic versie, die draait op een XT-machine met 256 Kb RAM, en de Professional versie, die een 386- of 486-processor vereist met 4 Mb RAM geheugen. Het verschil tussen deze versies is de snelheid waarmee het programma werkt.
- Wiskundige mogelijkheden
Grafieken tekenen: 2D, 3D, parameterkrommen in het vlak en in de ruimte, bundels grafieken
Numerieke berekeningen: nulpunten, extremen, oppervlakten, raaklijnen. Diverse numerieke methodes, zoals Newton-Raphson, Euler, Trapezium.
Algebra: formulemanipulatie, oplossen van vergelijkingen met parameters, complexe getallen, matrixrekening inclusief eigenwaarden en eigenvectoren.
Analyse: functiewaarden, afgeleide, asymptoten, extremen, primitieve, oppervlakten, limieten, sommaties, differentiaalvergelijkingen, Fourier-analyse, Laplace-transformatie.
- Toepassingen in het onderwijs
Derive is een breed pakket, dat op veel plaatsen in het curriculum ingezet kan worden. Het is eerder een instrumentele omgeving, een stuk gereedschap, dan een didactisch pakket. Tutorieel gebruik van Derive vereist zorgvuldig ontworpen practica. Inhoudelijk gezien liggen de toepassingen met name op het terrein van de analyse en de algebra.
Commando's invoeren
Na het opstarten van Derive verschijnt het volgende openingsscherm:
(plaatje!)
Een commando wordt gegeven door op het gewenste icoon te klikken. Meestal verschijnt dan een vervolgmenu of een dialoogvenster.
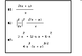
Derive stuurt de gebruiker door het stellen van vervolgvragen eenvoudig door de structuur van een commando heen. Stel bijvoorbeeld dat we de tweede afgeleide van
willen weten. De volgende dialoog ontstaat, nadat de gebruiker eerst de uitdrukking heeft ingevoerd.
Gebruiker kiest: Calculus
Derive vraagt: Limit Differentiate Taylor series Integrate Sum Product Vector
Gebruiker kiest: Differentiate
Derive geeft nu een dialoogvenster met daarin de actieve expressie:
(plaatje)
Gebruiker vult bij `Variable' in: x.
Gebruiker vult bij `Order' in: 2 en sluit af met ENTER.
Het commando Simplify berekent nu de gevraagde afgeleide, zoals het volgende scherm toont.

Schermopbouw
De bovenste regel van het Derive scherm is de titel-balk. Daaronder staat het hoofdmenu, gevolgd door de toolbar. Helemaal onder in beeld verschijnt de status-balk. Hierin staat onder meer waar Derive mee bezig is of wat het programma van de gebruiker verwacht. Tevens bevat de statusbalk de zogenaamde annotaties, de toelichting op de actieve expressies.
Tussen toolbar en statusbalk bevinden zich één of meer uitvoervensters, waarin de resultaten van berekeningen of tekenopdrachten verschijnen. Er zijn drie soorten uitvoervensters:
- algebra vensters, die wiskundige expressies bevatten,
- 2D-plot vensters, waarin tweedimensionale grafieken staan,
- 3D-plot vensters, waarin driedimensionale grafieken komen.
De gebruiker bepaalt zelf de functie van een venster. Naar keuze kan men meerdere uitvoervensters maken. Daardoor kan men gelijktijdig expressies en grafieken in beeld krijgen, zoals hieronder is afgebeeld.

Toepassingen bouwen
Derive bestaat uit een hoofdprogramma, waaromheen een aantal uitbreidings-files is gegroepeerd, de zogenaamde utility-files. Deze files bevatten procedures, die de gemiddelde gebruiker niet zo vaak nodig heeft. De procedures die de utility-files bevatten, zijn opgebouwd uit Derive-routines uit het hoofdprogramma of uit andere utility-files. Dat betekent dat de gebruiker ze kan lezen, kan veranderen, maar ze ook zelf kan maken. Van dat laatste volgt nu een voorbeeld. Overigens beschikt Derive nauwelijks over
Het doel is, om een procedure RAAKLIJN te definiëren, die bij een gegeven functie en x-waarde de vergelijking van de raaklijn bepaalt.

Eerst wordt in regel 1 de procedure LIJN gedefinieerd, die de vergelijking geeft van een lijn door een punt (a,b) met richtingscoëfficiënt r. In regel 2 is bij wijze van voorbeeld een functie f met f(x)=x2 ingevoerd. Regel 3 bevat de raaklijn-procedure. Deze maakt gebruik van LIJN, want de raaklijn is immers de lijn door (a,f(a)) met richting f'(a). Deze richting wordt bepaald door x=a in de afgeleide in te vullen. Dit invullen gebeurt, enigszins merkwaardig, met behulp van een limiet.
In regel 4 wordt de opdracht gegeven om de vergelijkingen van een bundel van raaklijnen te berekenen. Dat geeft regel 5. Wanneer daarop het Plot-commando wordt toegepast, ontstaat het volgende plaatje:

Bruikbaarheid in het curriculum









Bruikbaar of in gebruik bij vervolgopleidingen
In veel exacte vervolgopleidingen leren de studenten om te gaan met een computeralgebra pakket. In het W.O. betreft het vaak Maple of, in mindere mate, Mathematica. In het H.B.O. wordt ook Derive gebruikt. Het kennismaken met het verschijnsel computeralgebra is nuttig voor leerlingen die een exacte of economische vervolgopleiding gaan volgen.
ICT-Wiskunde - 19 NOV 96
[Next] [Previous] [Top]
Generated with CERN WebMaker